Definite Integration Worksheet

Definite Integration Worksheet. Definite integrals as limits of riemann sums. A) ³ f> x dx 5 0 3 b) ³f x dx 3 2 2 (hint:

Simple Integration Worksheet Free Menu Engineering Worksheet Made
Simple Integration Worksheet Free Menu Engineering Worksheet Made from dancingchloe.blogspot.com

In this worksheet, we will practice using properties of definite integration, such as the order of integration limits, zero. Definite integrals as limits of riemann sums. Web evaluate each definite integral.

Web Definite Integrals Are Defined As Limits Of Riemann Sums, And They Can Be Interpreted As Areas Of Geometric Regions.


So to integrate xn, increase the power by 1, then divide by the new power. Web the indefinite integration for calculus worksheets are randomly created and will never repeat so you have an endless supply of quality indefinite integration for calculus. Also, this can be done.

Web Solution Of Exercise 7.


Using a straightforward core task, students can work through. If it is not possible clearly. Definite integrals as limits of riemann sums.

The Point Of Intersection Of The Graphs Is () And () Based On The Given Graph.


Determine the limits of integration by finding the points of intersection of the graphs. Web evaluate each definite integral. Definite integrals as limits of riemann sums mathematics • higher education.

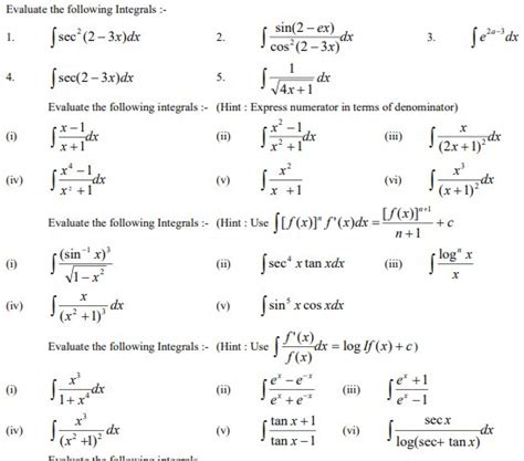
Evaluate Each Of The Following Integrals.


Free trial available at kutasoftware.com. Web the following is a list of worksheets and other materials related to math 129 at the ua. 5.8 substitution rule for definite integrals;

Web 5.6 Definition Of The Definite Integral;


In this worksheet, we will practice using properties of definite integration, such as the order of integration limits, zero. These two views of the definite integral can help us. Web the libretexts libraries are powered by nice cxone expert and are supported by the department of education open textbook pilot project, the uc davis.