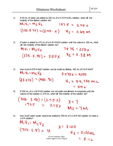
Dilutions Practice Worksheet

Dilutions Practice Worksheet. Worksheets are dilutions work, dilutions work w 329, dilution name chem work 15 5, dilutions work, dilution work. Since the molar amount of solute and the volume of solution are both given, the molarity can be calculated using the definition of molarity.

Dilution Practice Problem 5 You are given the following bacterial
Dilution Practice Problem 5 You are given the following bacterial from zuoti.pro

Calculate ml of 0.650m kno. Web this worksheet and quiz let you practice the following skills: Reduce the fraction if necessary.

Web Calculate Molarity By Dissolving 25.0G Naoh In 325 Ml Of Solution.


This equation does not have an official name like boyle's law, so example #1 53.4 ml of. Web serial dilution practice problem set. Web this worksheet and quiz will let you practice the following skills:

Web The Dilution In Tube 1 = 1/20.


1) if i have 340 ml of a 0.5 m nabr solution, what will the concentration be if i add 560 ml more water to it? Calculate ml of 0.650m kno. Make 3 sets of dilution tubes as seen in the.

Reduce The Fraction If Necessary.


Worksheets are dilutions work, dilutions work w 329, dilution name chem work 15 5, dilutions work, dilution work. The following problem sets test your ability to calculate dilution factors and concentration * s. 0.19 m (the final volume is 900 ml, set.

Web Think About Your Result.


Calculate the final concentration of a solution that is made by dissolving 14.8 g of solid sodium hydroxide in 600.0 ml of solution. The dilute sample had an absorbance. Calculate grams of solute needed to prepare 225 ml of 0.400 m kbr solution.

We Will Call This The Dilution Equation.


Practice calculating molarity of a dilute solution with this 12 problem worksheet. Web molarity and dilutions worksheet 1. Web this worksheet and quiz let you practice the following skills: